2017- 2018 eğitim öğretim yılında orta okullarda okutulan kitaplardan olan 6. sınıf mega yayınları ders kitabı öğrenciler için belirlenen kazanımlara uygun olarak ustaca hazırlanmıştır. hedeflenen kazanımların kontrolüne yönelik hazırlanan konuya hazırlık, konu tekrar soruları kazanımları ölçmeye yönelik ustaca hazırlanmıştır. Bu yazımızda 6. Sınıf Mega Yayıncılık Matematik Ders Kitabı Cevapları Sayfa 203,206,207 ulaşabilirsiniz.
ÖNEMLİ HATIRLATMA
Aşağıda Yer Alan soru cevapları kesin doğruluk değeri taşımamakla beraber. Sizlerin yapmış olduğu ödevleri karşılaştırmanız amacı ile hazırlanmıştır. Bu neden ile sadece kendi yapmış olduğunuz cevapların doğruluklarını kontrol edebilirsiniz.
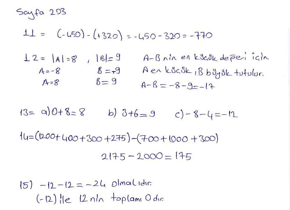
6. Sınıf Mega Yayıncılık Matematik Ders Kitabı Cevapları Sayfa 203

6. Sınıf Mega Yayıncılık Matematik Ders Kitabı Cevapları Sayfa 206

6. Sınıf Mega Yayıncılık Matematik Ders Kitabı Cevapları Sayfa 207


